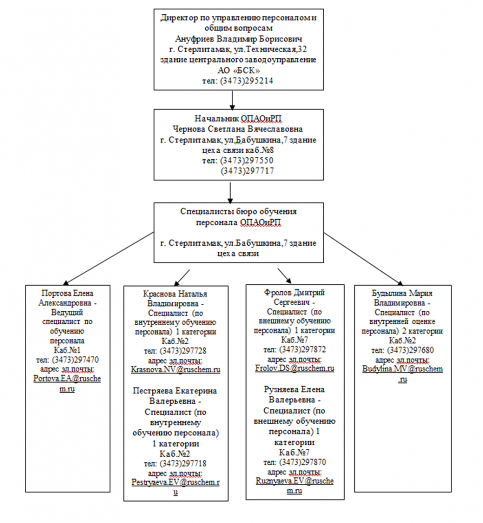
Структура и органы управления образовательной деятельности
Бюро обучения персонала отдела подбора, адаптации, обучения и развития персонала является образовательным подразделением АО «БСК»
Отдел формируется на основании штатного расписания Общества в соответствии с действующим законодательством Российской Федерации
Структура и органы управления образовательной организации отдела подбора, адаптации, обучения и развития персонала:

Непосредственное руководство БОП ОПАОиРП АО «БСК» осуществляет, начальник ОПАОиРП
Директор (по управлению персоналом и общим вопросам) АО «БСК» координирует и контролирует работу по организации профессионального обучения работников Общества.
Организуют работу непосредственно специалисты БОП ОПАОиРП
К осуществлению образовательного процесса в качестве преподавателей и мастеров производственного обучения привлекаются высококвалифицированные специалисты АО «БСК» прошедшие обучение психолого-педагогическому минимуму.
Положение об отделе подбора, адаптации, обучения и развития персонала